白话傅立叶变换及其意义
众所周知,“业余键盘佬”是华为海归搞通讯工程的,在他某个帖子里,我邀请他科普一下傅立叶变换这个通讯领域的基石,时隔多日,竟如泥牛入海,空余遗憾。既然如此,我乱扯一通,抛砖引玉,博诸君一笑(大话戏说,讲个大概意思,高手不要深究)。
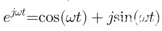
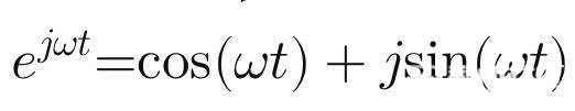
数学符号打不出来,所以先上图:
继续,傅立叶变换是描述任何一个函数图形(信号)都可以表示成无数个不同频率、不同振幅的正弦波和余弦波的叠加。我知道你们大大大多数人都看不懂,很正常,我来白话一下,你们就懂了。要是还不懂,那是我没本事。
比如我唱一段歌词“我 ~爱 ~~你 中~~~ 国~”用手机录下来就得到一段信号,大家可以试下,手机录音app里会生成一段波形图,这就是原函数f(x)的图形,是不是非常复杂的样子。如果要你来给我点评并打分,那么你就相当于描述了我的这个原函数f(x),你真牛,无形中你已经开始解傅立叶变换了,你一定会这么描述:“我”唱的有8分像刘欢,“爱”唱的有9分像张学友,“你”唱的有5分像王菲,“中”唱的有7分像邓丽君,“国”唱的有2分像张信哲。为什么用这5个人来评价?因为这5个人的声线很有代表性,有纯爷们的,有纯娘们的,有不男不女的,注意,“男-女”这两个关键因子在这里埋下了伏笔,后面会揭晓谜底。如此,你通过对5个字的分析粗略的描述了我的这段唱了20秒的歌声波函数f(x),也就是说你解析了f(x)图形上的5个点,你干了一件伟大的事情---“采样”。但是我不服,20秒的歌声你就取5个点评价?这如何可以精细的描述我练习两年半的美妙歌声?再来!于是你这样评价:“我”字前50%像7分刘欢,中间30%像2分张学友,后面20%像8分张信哲;“爱”字前75%像9分张学友,中间5%像5分王菲,后面20%像2分刘欢;“你”字前45%像5分王菲,中间30%像3分邓丽君,后面25%像1分张学友;“中”字前35%像4分邓丽君,中间33%像2分张信哲后面32%像9分张学友;“国”字前40%像5分张信哲,中间40%像2分刘欢,后面20%像3分王菲。如此这般,你对每个字都随机的分成三个时段来评价,你得到了翻了3倍的采样率,一段20秒的声音信号函数你采了15个点来解析f(x),以刘欢、张学友、张信哲、王菲、邓丽君按声音甜蜜度排序为横坐标,以评分为纵坐标,用数学描述,建立一个比对坐标系,横坐标是频率,低频是刘欢,高频是邓丽君,以信号的比对得分为纵坐标,得分越高信号越强烈,得分越低信号越弱,在这个坐标系上你可以得到15条交织的曲线;换到另外一个坐标系以时间为横坐标,以音量为纵坐标,你会得到15个点,你把这15个点连成一条线,你会发现线条的走向居然和你录音的波形图有那么几分类似,你很兴奋,你把2个坐标系做矩阵相乘,没错这就是高等数学里的线形代数,你把2个坐标系揉在了一起,你感觉你就要发现什么了,你以时间点为轴继续拆分,继续采样,继续打分评价,15个样不够,30个,50个,100个,1000个,1024x768个,∞多个,恭喜你,你无意之中你学会了“微分”,你把这数不清的点用线段连接起来,建立一个矩阵,回到傅立叶变换的“频率--强度”坐标系你也同时得到了无数条描述音色走向的曲线,你通过矩阵相乘,然后把这些微分量加起来,我了个烧钢!你真是个天才,你居然“积分”也学会了,什么?你早会了?荆门某艺数码搞的“积分”?啊对对对对对,你说的对。总之妈妈再也不用当心你的“微积分”了。突然,你发现一个bug,你选的这5个人,刘欢、张学友、王菲、邓丽君、张信哲,你拿他们的声线来对标我的声线,可是又如何去描述和定义他们的呢?况且5个人远远不够啊,歌星越多描述起来越方便准确,最好是无限多个无极变声的歌星来参与对比打分,这样才可以精细的描述我的歌声。你百思不得其解,你心痛到无法呼吸,你忧伤到不知所已,你说你感到万分沮丧,甚至开始怀疑人生!你只需2个人来模拟,男人和女人。任何所有人的声线都是男声、女声无极变速按比例混合而成,这里,我们把男人定义为cos(ωt),女人定义为sin(ωt)(why?这么说吧,正弦波、余弦波,这俩其实是一个图纹,只不过相位不对而已,而且用三角函数来比对信号波有太多优点,本身长的就大致差不多,便于比对评分,有没有发现这个波图就是我们的太极八卦的双鱼?不扯远了,有机会下次再讲。)通过微分积分的方法,你得到了一个复数F(ω),这个数记录了我唱歌的声音信息,我称之为“声纹”,他和指纹一样独一无二。我们回到主题,傅立叶变换的公式
F(ω)就是我的“声纹”,f(t)就是我唱的这段歌的录音曲线,cos(ωt)和sin(ωt)就是男声和女声的比对测试因子,j是虚数(姐)j的平方=-1,这里引入虚数意思是单独的女人爱男人,女人和闺蜜在一起肯定骂男人,男人也可以是女人变的,女人以前也可以是男人,dt就是时间的微小变量,你把这些微量因子相乘再相加,你就得到了傅立叶变换。反正就大致这么个意思。“你说是就是?” “对,我说是就是,看法官相信我,还是相信你,键,盘,佬!”你得到了F(ω)你就得到我的声音密码,数学和物理上称为“频谱”也就是如何合成我独一无二声音的配方。可以大胆的这样去理解,你掌握了如何把宇宙中的模拟信号用数学方法去描述得到数字信号;反过来,逆向傅立叶变换你通过对F(ω)进行微积分运算,你又可以还原出原始的模拟信号。这么一来二去,你又学会了新姿势,“数模转换”。键盘佬的老板是靠什么起家的,对了,“程控交换机”这玩意就是把模拟信号(老式大哥大砖头机)变为数字信号进行处理,过程为模拟-数字-交换-数字-模拟。反复横跳你说气不气人!
这有什么用?我读一句话5秒钟,是一段声波,你通过傅立叶转换获得这段声音的频谱,你就掌握了我的声纹,你把数据发给AI,Ai就可以生成我的语音包,你想搞我,你把我声音频谱中的低频部分的比对值人为减去,把高频部分加大,我就成了公公;图形处理一样可以傅立叶变换,原函数为像素的空间分布函数,傅立叶变换为频谱函数,低频代表平滑过度,高频表示尖锐细节,我们可以对分离出来的曲线进行抽帧和加强,这样我们可以把图文信号进形压缩或渲染。核磁共振就是傅立叶变化的经典运用。
懒的写了,以下交给DeepSeek来写
因此,傅立叶变换是连接MRI原始数据和最终可视化图像的唯一数学桥梁,是整个MRI技术的理论基石。以上图文来源于DeepSeek。
意思就是这么个意思,我高数当年都是80几分,现性代数接近满分,一晃20年过去了,也忘记的几乎差不多了,大致回忆梳理了一下,然后就开始瞎编乱造,当不得真,只当是科幻小说看看。最后有一句话是真的,科学技术的发展离不开枯燥无味甚至看起来无用的基础科学的理论研究,但这决定了一个民族未来200年的命运。希望我们的年轻人,不要口里喊着爱国,心里装着考公。
傅立叶同志,(Jean Baptiste Joseph Fourier,1768~1830)是法国的一位杰出数学家与物理学家,生于大清乾隆三十三年!





游客